Tests of Pearson's Correlation (4 of 6)
Other Null Hypotheses
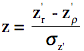
For other null hypotheses, the significance test of r is done using
Fisher's z' transformation. The formulas
used in the
fourth step of hypothesis testing are shown
below:
where

is the value
of r converted to z',

is
the value of ρ converted to z', and

is the standard error of z'. This standard error can be
computed as:
Once z is computed, a
z table is used
to calculate the p value.