Confidence intervals and Significance Tests for Correlation and Regression (5 of 5)
Next section: Introduction to multiple regression
Confidence interval for b
Compute (r)(s
y
/s
x
)where r is Pearson's correlation, s
x
is the standard deviation of X and s
y
is the standard deviation of Y.
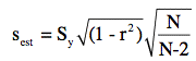
Compute
Compute
Compute df = N - 2.
Find t for these df using a
t table
.
Lower limit = b - t s
b
Upper limit = b + t s
b
Lower limit ≤ population slope ≤ upper limit.
Next section: Introduction to multiple regression