Orthogonal comparisons (5 of 5)
Next section: Trend analysis
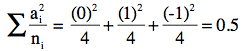
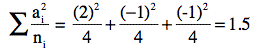
For this example,
L
1 = (2)(4)+ (-1)(3) + (-1)(2) = 3
SSB
1 = 3²/1.5 = 6
L
2 = (0)(4)+ (1)(3) + (-1)(2) = 1
SSB
2 = 1²/.5 = 2
SSB = SSB
1 + SSB
2 = 6 +
2 = 8 which is the same value obtained in the analysis of variance.
It is important
to know whether the comparisons you are conducting are orthogonal or
not. However, it is not critical that you limit yourself to
orthogonal comparisons. It is much more important to test the
comparisons that make sense in terms of your experimental
hypotheses.
Next section: Trend analysis