Trend Analysis (4 of 5)
Assume that the
MSE for the magnitude
of
reward experiment were 5 and that
there were 10 subjects per group. The group
means are:
Reward size Time
2 10
4 6
6 4
8 3
The table on the previous page shows that the coefficients for the
linear component of trend with four groups are:
-3, -1, 1, 3.
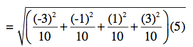
Applying the formulas for a comparison presented
elsewhere:
L = ΣM
ia
i = (10)(-3) + (6)(-1) + (4)(1)
+(3)(3) = -23

= 3.162.
t = -23/3.162 = -7.27.