Comparing Means with a Control (4 of 4)

previous


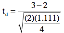
The means of the Aspirin, Tylenol, and Placebo groups are: 4, 3, and 2 respectively. Comparing the Aspirin group to the Placebo control,



= 2.68.


A table for Dunnett's test can be used to determine that the critical value for the 0.05 level (two-tailed) is 2.61. Therefore, this comparison is significant at the 0.05 level.

Comparing the Tylenol group to the Placebo control,



= 1.34 which is not significant.


previous